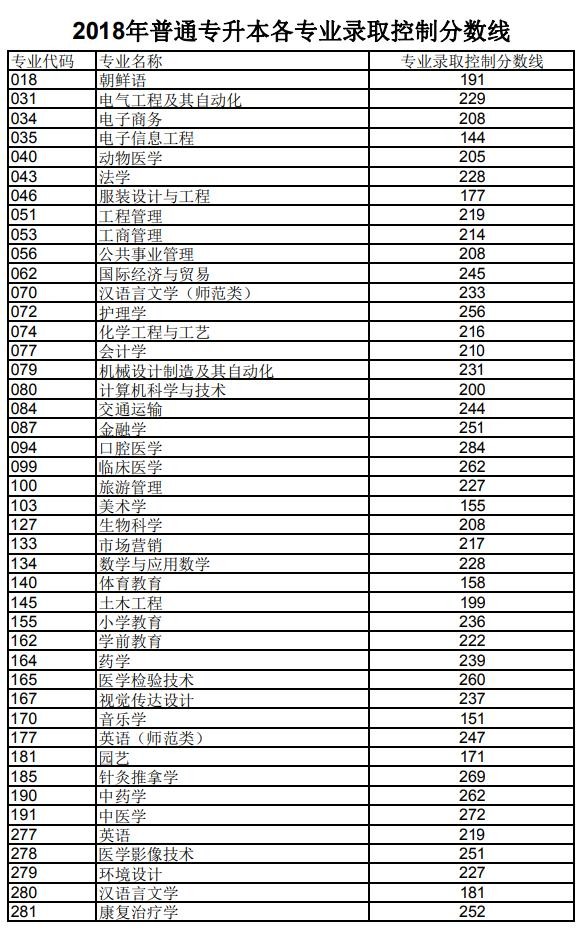
山东2018年普通专升本各专业录取控制分数线公布 2025-12-07 06:12 点击: 来源:高饶网 摘要:山东2018年普通专升本各专业录取控制分数线公布 齐鲁网5月21日讯 省教育厅最新消息!山东2018年普通专升本各专业录取控制分数线今天公布了。一起来看一下。 闪电新闻记者 张洪波 山东2018年普通专升本各专业录取控制分数线公布齐鲁网5月21日讯 省教育厅最新消息!山东2018年普通专升本各专业录取控制分数线今天公布了。一起来看一下。闪电新闻记者 张洪波 相关标签: 上一篇:2025辽宁卫视春晚节目单,大腕云集,你最期待哪一个?今晚19:30 下一篇:航天动力:2024年净亏损1.87亿元
2025辽宁卫视春晚节目单,大腕云集,你最期待哪一个?今晚19:30 2025辽宁卫视春晚节目单,大腕云集,你最期待哪一个?今晚19:30 1月27日,2025辽视春晚节目单来了,今晚7.30开演,看看有没有你期待的节目。 辽宁卫视的小品还是很不错的,有这么多笑... 2025-12-07 06:09:56
武警擒敌拳十六个动作名称 武警擒敌拳十六个动作名称 1.贯耳冲击 2.抓腕砸肘 3.挡臂掏腿 4.砍肋击胸 5.缠腕冲拳 6.上架弹砍 7.接腿涮摔 8.横踢鞭打 9.直摆勾击 10.抱腿顶摔 11.抱腿轮摔 12.格挡弹踢 13.侧踹下砸 14.马... 2025-12-07 06:07:42
你所在的民族有多少人口?快来看史上最全56个民族图! 你所在的民族有多少人口?快来看史上最全56个民族图! 排名第一的是汉族,人口数超过12亿,壮族、维吾尔族、回族、苗族、满族分列二三四五六名,人口数均超过1000万。人口最少的... 2025-12-07 06:05:28
近五年金价波动一览表和行情走势图(2018年-2023年黄金价格图) 近五年金价波动一览表和行情走势图(2018年-2023年黄金价格图) 2016年到2021年国内黄金价格最高价格469元/克,最低价格251.6元/克,平均价格328.6元/克。 2016年到2021年国际黄金价格最高价... 2025-12-06 18:06:08
三维美女图 三维美女图 鼻尖贴近并对准三维立体图的中心,眼睛呈现斗鸡眼状态,慢慢拉开图片距离,逐渐调整视线,保持20厘米左右,隐藏的美女就出来了,慢慢欣赏吧。... 2025-12-06 18:03:54
路边的野菜不能采?男子摘野菜煮面,一家3口全住进ICU 路边的野菜不能采?男子摘野菜煮面,一家3口全住进ICU 近日,成都的张先生在家附近采摘野菜,给家人煮面吃,不料全家三人食物中毒,全住进ICU病房。 医生介绍,张先生所吃的野菜... 2025-12-06 18:01:40
刚刚,内蒙古地震! 刚刚,内蒙古地震! 中国地震台网正式测定:02月08日11时53分在内蒙古阿拉善盟阿拉善右旗(北纬39.11度,东经101.19度)发生3.3级地震,震源深度15千米。 网友评论:震感明显 愿平安!... 2025-12-06 17:59:26
【权威路况】12月29日15:43G75兰海高速武罐段故障车已拖离 【权威路况】12月29日15:43G75兰海高速武罐段故障车已拖离 2024年12月29日15:43G75兰海高速武罐段K457+569处(西秦岭隧道内),往四川方向故障车已拖离,道路恢复正常通行。 了解最新路况... 2025-12-06 17:57:12
韩国历任总统结局 韩国历任总统结局 自1948年至今,韩国总共选举产生总统13任,这13任总统除了前任总统文在寅得以全身而退,尹锡悦的结局尚未确定外,其余11任总统都鲜有善终者。说韩国总统是天底... 2025-12-06 17:54:57
大别山中乐享冰雪 大别山中乐享冰雪 当日,位于安徽省岳西县的大别山滑雪乐园迎来众多游客,人们在运动中享受冰雪带来的乐趣。 1月15日,小朋友在教练的指导下学习滑雪动作。新华社记者 杜宇 摄... 2025-12-06 17:52:43
微信史上最囧挑战第54关怎么过 史上最囧挑战第54关图文攻略 微信史上最囧挑战第54关怎么过 史上最囧挑战第54关图文攻略 [-海峡网] 《史上最囧挑战》是微信小程序中一款非常火爆的游戏,非常休闲有意思喔!微信史上最囧挑战第54关怎么过?还... 2025-12-06 17:50:29
腾讯发布公告 腾讯发布公告 9月20日,腾讯控股有限公司在官网发布公告称,由于美国商务部日前颁布的限制令,该公司旗下产品WeChat可能无法在美国获得新用户,且现有的美国用户在使用及更新时也... 2025-12-06 17:48:15
警示!男子偷渡缅甸当雇佣军被判拘役 警示!男子偷渡缅甸当雇佣军被判拘役 禁不住“高薪”诱惑,安徽亳州一“90后”男子冯某某,竟偷渡到缅甸充当雇佣军,在缅甸期间还帮助他人偷渡。近日,亳州市谯城区人民法院宣... 2025-12-06 17:46:00
单词henpecked,zombie 单词henpecked,zombie henpecked怕老婆的,惧内的。 这单词有意思啊,hen就是母鸡,pecked就是啄,怕母鸡啄-引申☝️上面词意 zombie毫无生气的人,麻木迟钝的人,无精打采的人,行尸走肉的... 2025-12-06 05:40:05
北京天际线 北京天际线 北京天际线 10月19日清晨,北京天际线的建筑群映衬在朝霞中。 新华社记者 涂铭 摄 10月19日清晨,北京天际线的建筑群映衬在朝霞中。 新华社记者 涂铭 摄 10月19日傍晚,夕... 2025-12-06 05:37:51
周杰伦鼓励林书豪:永远快乐 周杰伦鼓励林书豪:永远快乐 【周杰伦鼓励林书豪:永远快乐】林书豪在近日的分享会上谈到了自己目前的处境,他感觉自己似乎已被NBA抛弃,讲到动情处他甚至留下了不甘的泪水。而... 2025-12-06 05:35:37
开讲啦丨饶毅:一位有趣的科学家 开讲啦丨饶毅:一位有趣的科学家 他,研究果蝇三十年。 他,不喜欢“白富美”。 他教有趣的课,看非专业的书,办微信公众号与读者分享知识的乐趣。 “做一个有趣的科学家”,是... 2025-12-06 05:33:22
举重——闫盼盼夺得男子97公斤级冠军 举重——闫盼盼夺得男子97公斤级冠军 当日,在东京残奥会举重男子97公斤级决赛中,中国选手闫盼盼夺得冠军。 8月29日,闫盼盼在颁奖仪式上。 新华社记者 张铖 摄 8月29日,闫盼盼在... 2025-12-06 05:31:08
韩荣照代表:军地合力提升大学生士兵留队率 韩荣照代表:军地合力提升大学生士兵留队率 #军微观两会# 【韩荣照代表:军地合力提升大学生士兵留队率】韩荣照代表建议:①探索建立军兵种岗位需求和大学生士兵数据库,提升大... 2025-12-06 05:28:54
58式14.5双联装高射机枪,对越自卫反击战最具威力的机枪! 58式14.5双联装高射机枪,对越自卫反击战最具威力的机枪! 58式14.5双联装高射机枪,绰号“步兵收割机”,“战场铁扫帚”!在对越自卫反击战中令越猴威风丧胆! 58式14.5双联装高射... 2025-12-06 05:26:40
【权威路况】10月3日19:00G75兰海高速兰临段最新通行情况 【权威路况】10月3日19:00G75兰海高速兰临段最新通行情况 2024年10月3日19:00G75兰海高速兰临段新七道梁隧道附近往兰州方向车流量大,车辆通行缓慢。请途经车辆按秩序通行,保持车距、... 2025-12-06 05:24:25
“郴”怎么读? “郴”怎么读? 根据《现代汉语词典》(第七版),“郴”是一个单音字, 读Chēn(第一声)。 “郴”字为篆书“林”与“邑”二字组合,意思为“林中之城”。“郴”字独郴州所有... 2025-12-06 05:22:11
震惊!在颁奖典礼上赵本山怒扇冯小刚! 震惊!在颁奖典礼上赵本山怒扇冯小刚! 一次颁奖典礼上,冯小刚作为嘉宾为赵本山颁奖。 在致颁奖辞时,冯小刚把原本一句“你是黑土地上的艺术奇葩”,念成了“你是黑社会上的... 2025-12-06 05:19:57
怎样腌制萝卜条 怎样腌制萝卜条 腌萝卜条是一道菜肴,首先需要的食材有:1、准备食材:白萝卜500g、小米辣50g、蒜片10g。2、白萝卜切成条状,放入碗中,加入5克盐,抓拌均匀,腌制40分钟以上。3、... 2025-12-05 03:32:50